Entrar
Pesquisar
SRF
SRF
DRI
DRI
A Direção
A Direção
Contactos
Contactos
Menu
Governo
Governo Regional da Madeira
SRF
Secretaria Regional das Finanças
DRI
Direção Regional de Informática
ADirecao
A Direção
InstrumentosGestao
Instrumentos de Gestão
Legislacao
Legislação
Contactos
Contactos
Entrar
Pesquisar
[Anúncio] Hasta Pública
Alienação de imóveis do domínio privado da RAM
[Anúncio] Hasta Pública
Alienação de imóvel, localizado no Sítio das Lages, Porto Novo
[Anúncio] Hasta Pública
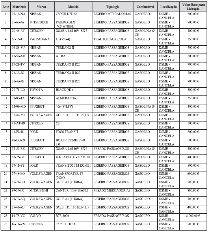
Alienação de 26 veículos diversos
[Anúncio] Hasta Pública
Alienação de 5 imóveis do domínio privado da RAM
[Alienação] Hasta Pública
Alienação de imóvel denominado "Antiga Adega de São Vicente"
[Anúncio] Hasta Pública
Alienação do imóvel denominado "Antiga Adega Cooperativa de São Vicente"
Processo de alienação das ações detidas pela SDM, S.A., na SDEM, S.U., S.A.
Aprovação do processo de alienação das ações detidas pela SDM - Sociedade de Desenvolvimento da Madeira, S. A., na SDEM - Sociedade de Desenvolvimento Empresarial da Madeira, Sociedade Unipessoal, S. A.
[Alienação] Embarcação
Veleiro com casco em fibra, denominado "Calma"
[Alienação] Edifício Golden Gate
Prédio urbano localizado na freguesia da Sé (Funchal).
[Alienação] Doze lotes variados
Prédios rústicos localizados nos municípios do Funchal, Machico e Santa Cruz.
[Alienação] Quarenta e seis lotes variados
Veículos e outros bens móveis
[Alienação] Oito lotes variados
Objetos de ouro, prata e outros metais
[Alienação] Prédio urbano em Santo António
Prédio urbano localizado na freguesia de Santo António (Funchal).
[Alienação] Campo Experimental das Preces
Prédio "misto" localizado na freguesia e município de Câmara de Lobos.
HASTA PÚBLICA N. 2/PAGESP/2018
Alienação de Veículos e bem Móvel
Região vende quota na Cimentos Madeira
O Governo Regional formalizou, esta tarde, a alienação da quota de 42,86% que detinha na Cimentos Madeira, numa cerimónia que decorreu nas instalações da empresa e que contou com a presença do vice-presidente do Governo Regional, Pedro Calado, bem como vários representantes da Secil, acionista maioritária da empresa madeirense.
Decreto Legislativo Regional n.º 37/2012/M, de 12 de dezembro
Aprova o regime de alienação das participações sociais detidas pela Região Autónoma da Madeira
Governo Regional avança com concessão e alienação de imóveis para o Campo de Golfe da Ponta do Pargo
Estas medidas visam dar seguimento à estratégia definida para a área abrangida pelo Plano de Urbanização do empreendimento, localizado na costa ocidental da ilha.
As empresas e a economia da Madeira ficam a ganhar
Presidente do Governo Regional quer prosseguir processo de alienação de lotes no Parque Empresarial da Cancela, tal como acontece, neste momento, no PEZO.
Hasta Pública Nº 3/2017/PaGeSP
Hasta Públ¡ca de Alienação de Bens lmóveis do Dom¡nio Pr¡vado da RAM
Hasta Pública Nº 5/2016/PaGeSP
Hasta pública de Alienação de Bens Imóveis do Domínio Privado da RAM
Hasta Pública n.º 4/2016/PAGESP
Alienação de 7 imóveis que integram o domínio privado da Região, com recurso ao procedimento de Hasta Pública
Hasta Pública n.º 3/PAGESP/2016
Alienação de Equipamentos
Hasta Pública n.º 2/2016/PAGESP
Alienação de 4 imóveis que integram o domínio privado da Região, com recurso ao procedimento de Hasta Pública
Pág. 1 de 1
palavras mais pesquisadas pelos nossos visitantes
Serviços relacionados
Este sítio utiliza cookies para facilitar a navegação e obter estatísticas de utilização. Poderá consultar a nossa Política de Privacidade
aqui.
Aceitar todos os Cookies
Aceitar apenas os cookies essenciais